您的瀏覽器不支援JavaScript功能,您可以開啟JavaScript
世界書局書目書目總覽
總類
人文科學類>
哲學類
自然科學類
應用科學類
社會科學類
教科書
經銷圖書
簡體字推薦書目簡體字推薦書目
線裝書區
簡體字推薦書>
特別推薦套書
古典小說
詩詞、戲曲
國學專題研究
宗教、哲學
歷史、人物
地理、方志
建築、考古
藝術書畫篆刻
民俗、文化
養生、醫學
生活、休閒
簡體字書目下載簡體字書目下載
商品搜尋
關於世界關於世界
新品商品新品商品
商品推介商品推介
特價商品特價商品
世界精選世界精選
得獎好書
套書推薦>
經典推薦>
專文推薦
作家群像作家群像
中國文化經典中國文化經典
世界會員世界會員
意見交流意見交流
討論區
留言版
與我們聯絡與我們聯絡
購書辦法購書辦法
採購車採購車
台灣No1商務平台_台灣黃頁
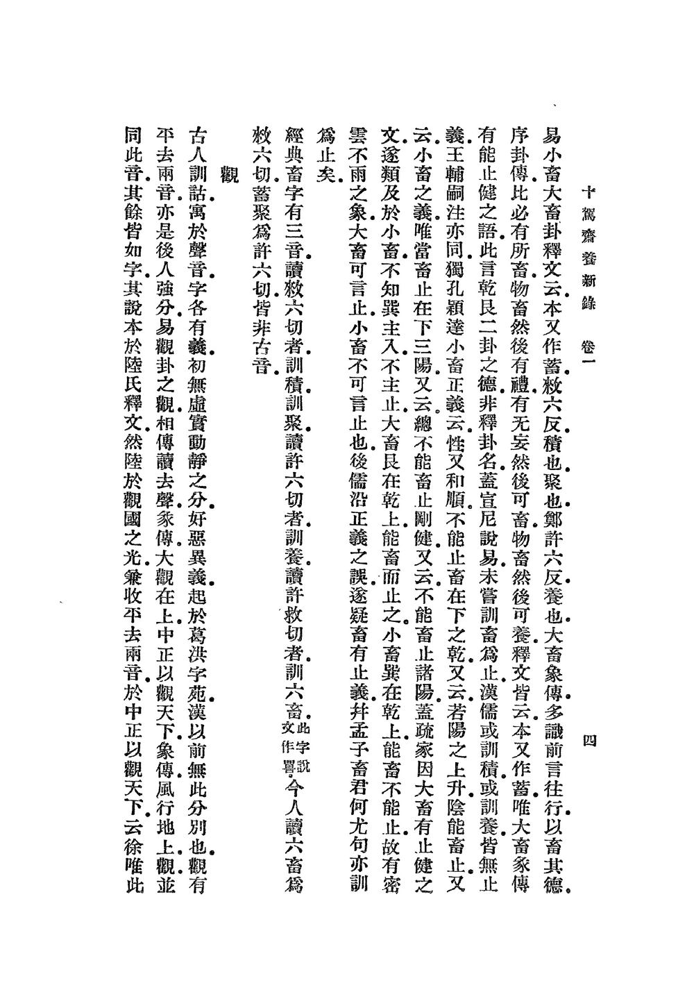
       十駕齋養新錄.錢大昕年譜(上下)
圖片
放大圖
定價: NT  1100  (套)
售價: NT  1100  (套)
最小訂量:  1
作者 :(清)錢大昕撰
頁數 :794頁
開數 :25開
裝訂冊別 :平裝二冊
出版日期 :2009年7月
類別 :人文科學類.讀書劄記
系列名稱 :中國文化經典---讀書劄記
本局書號 :A716-0735
ISBN :978-957-06-0337-8
CIP :071.7
出版社 :世界書局
加入書籤 >>
加入購物車加入購物車  
  內容簡介
《十駕齋養新錄》凡二十卷並《餘錄》三卷,為錢大昕讀書學術劄記,內容涉及經學、小學、史學、官制、地理、姓氏、典籍、詞章、術數、儒術等領域,皆精確中正之論,深為後世所重。今世界書局校刊排印此書,附錢辛楣先生年譜、竹汀居士年譜續編,為現今該書重要版本之一。
  內文樣張①
  內文樣張②
  內文樣張③
  內文樣張④
  商店退換貨說明
在您收到商品當日起,如遇商品有瑕疵(缺頁或倒裝),14天內可要求換貨(以郵戳或收執聯為憑)。換貨前,煩請事先以電話聯絡本局,請務必將商品予以妥善包裝後,連同發票並註明聯絡人姓名、住址與電話,以掛號或快遞方式寄回。待我們收到欲換之商品後,會盡快寄上更換後的商品(如遇商品存貨不足無法更換,我們將電話通知,請您選擇其他等值商品替換)。
  TOP        
回上頁友善列印加入購物車加入購物車

| 回首頁 | 關於世界 | 採購車 | 與我們聯絡 |

世界書局股份有限公司 版權所有Copyright©2013  All Rights Reserved.
地址:中正區台北市重慶南路一段99號
電話:02-23113834 門市電話:02-23110183
傳真:02-23317963   E-mail:wbc.ltd@msa.hinet.net

  Powered by 台灣黃頁 詢價平台